Sign In | Join Free | My wneducation.com
China Shenzhen Hua Xuan Yang Electronics Co.,Ltd logo
Shenzhen Hua Xuan Yang Electronics Co.,Ltd
Shenzhen Hua Xuan Yang Electronics Co.,Ltd Our electronic components semiconductor is your most correct choice, because we are professional, honest, high quality, low price
Active Member

7 Years

Home > Tip Power Transistors >

TO-252Tip Power Transistors 3DD13002 Transistor NPN

Shenzhen Hua Xuan Yang Electronics Co.,Ltd
Contact Now

TO-252Tip Power Transistors 3DD13002 Transistor NPN

Place of Origin : ShenZhen China

Brand Name : Hua Xuan Yang

Certification : RoHS、SGS

MOQ : 1000-2000 PCS

Price : Negotiated

Packaging Details : Boxed

Delivery Time : 1 - 2 Weeks

Payment Terms : L/C T/T Western Union

Supply Ability : 18,000,000PCS / Per Day

Model Number : 3DD13002

Storage Temperature : -55~150℃

TJ : 150 ℃

Collector Power Dissipation : 1.25w

Product name : semiconductor triode type

Collector Current : 3.5A

Type : Triode Transistor

Contact Now

TO-251-3L/TO-252-2L Plastic-Encapsulate Transistors 3DD13002 TRANSISTOR (NPN)

FEATURE

Power Switching Applications

MAXIMUM RATINGS (Ta =25 Š unless otherwise noted)

Symbol Parameter Value Unit
VCBO Collector -Base Voltage 600 V
VCEO Collector-Emitter Voltage 400 V
VEBO Emitter-Base Voltage 6 V
IC Collector Current -Continuous 1 A
PC Collector Power Dissipation 1.25 W
TJ Junction Temperature 150
Tstg Storage Temperature -55~150


ELECTRICAL CHARACTERISTICS

Ta=25 Š unless otherwise specified


Ta=25 Š unless otherwise specified

Parameter Symbol Test conditions Min Typ Max Unit
Collector-base breakdown voltage V(BR)CBO IC= 100μA,IE=0 600 V
Collector-emitter breakdown voltage V(BR)CEO IC= 1mA,IB=0 400 V
Emitter-base breakdown voltage V(BR)EBO IE= 100μA,IC=0 6 V

Collector cut-off current

ICBO VCB= 600V,IE=0 100 µA
ICEO VCB= 400V,IE=0 100 µA
Emitter cut-off current IEBO VEB= 7V, IC=0 100 µA

Dc current gain

hFE1 VCE= 10 V, IC= 200mA 9 40
hFE2 VCE= 10 V, IC= 0.25mA 5
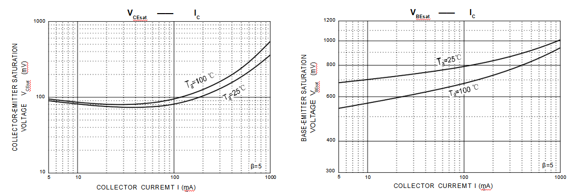
Collector-emitter saturation voltage VCE(sat) IC=200mA, IB= 40mA 0.5 V
Base-emitter saturation voltage VBE(sat) IC=200mA, IB= 40mA 1.1 V

Transition frequency

fT

VCE=10V, IC=100mA

f =1MHz

5

MHz

Fall time tf IC=1A, IB1=-IB2=0.2A VCC=100V 0.5 µs
Storage time ts 2.5 µs

CLASSIFICATION OF hFE1

Range 9-15 15-20 20-25 25-30 30-35 35-40


Typical Characteristics

TO-252Tip Power Transistors 3DD13002 Transistor NPNTO-252Tip Power Transistors 3DD13002 Transistor NPNTO-252Tip Power Transistors 3DD13002 Transistor NPNTO-252Tip Power Transistors 3DD13002 Transistor NPN

TO-92 Package Outline Dimensions

Symbol Dimensions In Millimeters Dimensions In Inches
Min. Max. Min. Max.
A 2.200 2.400 0.087 0.094
A1 1.050 1.350 0.042 0.054
B 1.350 1.650 0.053 0.065
b 0.500 0.700 0.020 0.028
b1 0.700 0.900 0.028 0.035
c 0.430 0.580 0.017 0.023
c1 0.430 0.580 0.017 0.023
D 6.350 6.650 0.250 0.262
D1 5.200 5.400 0.205 0.213
E 5.400 5.700 0.213 0.224
e 2.300 TYP. 0.091 TYP.
e1 4.500 4.700 0.177 0.185
L 7.500 7.900 0.295 0.311

TO-252Tip Power Transistors 3DD13002 Transistor NPN




Product Tags:

tip pnp transistor

      

high power pnp transistor

      
Buy cheap TO-252Tip Power Transistors 3DD13002 Transistor NPN product

TO-252Tip Power Transistors 3DD13002 Transistor NPN Images

Inquiry Cart 0
Send your message to this supplier
 
*From:
*To: Shenzhen Hua Xuan Yang Electronics Co.,Ltd
*Subject:
*Message:
Characters Remaining: (0/3000)